固体所在体心立方FeGa单晶Zener弛豫研究方面取得新进展

发布日期:2023-08-19 作者:孙孟 浏览次数:1320

近期,中国科学院合肥物质科学研究院固体物理研究所内耗与固体缺陷研究部在体心立方(BCC) FeGa单晶Zener弛豫研究方面取得新进展。相关成果以“Tetragonal dipole dominated Zener relaxation in BCC-structured Fe-17at.% Ga single crystals”为题发表在金属材料顶级期刊Acta Materialia (Acta Mater., 258, 119245 (2023))上。      FeGa合金由于具有驱动磁场低、磁致伸缩系数高、阻尼温域宽、微振动响应敏感、以及力学性能优良等特点,在制动器、传感器以及微振动抑制领域具有巨大的应用潜力。然而,FeGa合金磁致伸缩和阻尼性能与Ga原子占位密切相关,如何鉴别和评估材料内部Ga原子占位成为目前FeGa合金研究面临的一个关键难题。内耗技术对材料内部缺陷弛豫极为灵敏,因而,通过内耗技术有望解决评估Ga原子占位这一难题,并为FeGa合金磁致伸缩和阻尼性能提升提供指导。

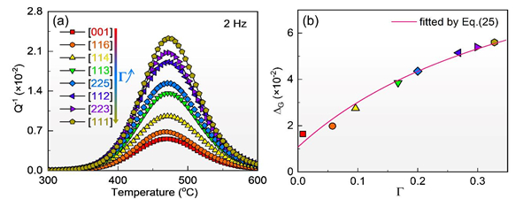
鉴于此,研究团队在成功生长大尺寸FeGa单晶的基础上,制备了具有不同取向因子的FeGa二元单晶合金。通过对比研究FeGa多晶和单晶的内耗行为,确定了450℃附近的弛豫峰属于晶粒内部的Zener弛豫行为而非晶界弛豫;通过测量和分析不同取向FeGa单晶的内耗数据,发现随着单晶取向因子的增加,Zener弛豫净峰高逐渐增加(图1)。

研究团队进一步对具有不同原子对构型BCC晶胞的弛豫强度进行系统分析,发现FeGa单晶的三方和正交构型偶极子的弛豫强度随取向因子的增加而降低,仅四方偶极子的弛豫强度随着取向因子的增加而增加。应变张量分析及拟合结果表明,BCC结构FeGa单晶Zener弛豫主要来自于第二近邻溶质原子对的贡献,第一近邻溶质原子对对Zener弛豫的贡献仅占次要位置。同时,对于Fe-17at.% Ga单晶,其弛豫激活能约为1.8 eV,远低于多晶材料中通过内耗测得的激活能(图2),且该值与示踪法测得激活能大小相当,表明该值更接近于实际Ga原子的扩散激活能。此外,结合电子结构以及应变分析,阐明了Zener弛豫强度与磁致伸缩系数的正相关关系(图3)。

该工作明确地揭示出体心立方结构FeGa单晶Zener弛豫来主要自于第二近邻溶质原子对,纠正了长期以来对BCC合金中Zener弛豫来自于第一近邻溶质原子对的认知,该结论同样适用于其他BCC固溶体合金。同时,该工作表明Zener实验可用于分析单组元或多组元合金中是否存在微区溶质短程有序、溶质原子的有序程度、以及溶质原子占位等。这些分析将有助于研究材料的微观结构和动力学信息,并探究弹性偶极子对材料力学和功能特性的影响。

上述研究工作得到了国家自然科学基金、安徽省自然科学基金、安徽省重点研发项目及松山湖大科学装置开放课题基金的资助。

文章链接:https://doi.org/10.1016/j.actamat.2023.119245



图1. (a) 不同取向Fe-17at.%Ga单晶的净Zener弛豫内耗峰;(b)净弛豫强度随取向因子的变化关系。



图2. (a) Fe-17at.%Ga单晶的Zener弛豫激活能随取向因子变化关系;(b)FeGa单晶与不同BCC结构Fe基合金Zener弛豫参数对比图。


图3. FeGa合金中磁致伸缩系数和Zener弛豫强度的比较图。在有序和无序相区,磁致伸缩系数和Zener弛豫强度随Ga含量变化具有高度一致性。